游客:
注册
|
登录
会员
|
搜索
|
统计
|
帮助
轩辕春秋文化论坛
»
步步为营
» 战棋联赛总成绩排名贴
兴唐传·瓦岗山异闻录(20150519版)发布
(2015-5-19)
论坛营运现状公告
(2014-8-10)
三国志12pk版下载
(2013-4-20)
《精忠报国岳飞传》制作组对外开放
(2013-1-16)
岳飞传解密剧本发布
(2011-4-12)
招募各版斑竹和网站管理技术人员
(2006-4-19)
<< 上一主题
|
下一主题 >>
35
1/2
1
2
››
投票
交易
悬赏
活动
打印
|
推荐
|
订阅
|
收藏
|
开通个人空间
|
加入资讯
标题: 战棋联赛总成绩排名贴
林冲
(教头)
京兆郡公
谏议大夫
★★
★★
组别
翰林学士
级别
卫将军
好贴
5
功绩
872
帖子
6312
编号
56550
注册
2006-1-2
家族
轩辕狼党
#1
发表于 2007-4-26 18:19
资料
个人空间
短消息
只看该作者
战棋联赛总成绩排名贴
排名说明、算法:
本来最简单的方法是像F1赛车那样,按每轮的名次评分,最后将积分相加排总名次。但这种积分的方式漏洞很多,具体到战棋联赛上,第一轮第三名墨叶名次得分就和第二轮第三名sharmarty一样了。但显然墨叶的第一轮比赛的含金量较高,F1赛车规则并不适用!
那就只能把每轮的成绩(得分)相加来评总名次了。可又不能简单相加,因为每轮比赛的内容不一样,评分标准不一样,并没有可比性。所以我只能采取一种类似于标准分的方式。但是战棋联赛参加的人太少,样本不够多,如果像高考那样第一名900分,最后一名100分,其余的按比例换算成100到900之间的分值来算的话,最后一名的成绩就会直接影响到第二名成绩。在参加人数太少的情况下,此算法是不合理的(当然高考的实际算法可能复杂得多,甚至要考虑方差的问题)。所以这个标准分不能参考最后一名,只能去参考第一名的成绩。
怎么参考呢?具体结合本次比赛来看,anitector和冰祁步分别是两轮比赛的前两名,各得了一次分轮的冠军。那前两轮的总排名谁靠前呢?表面上看第一轮anitector只赢了冰祁步2分,而第二轮冰祁步赢了anitector30分。但第一轮的2分意味着多省出来两个武将的行动,而第二轮的30分只是多得了30点经验而已。30点经验相当于什么呢?我们这样算一下:anitector在第二轮一共得了2572点经验,冰祁步的30点经验也就是多得了1.166%的经验值。而anitector在第一轮一共走了111步,冰祁步多走的两步就是多走了1.802%的步数。所以总体看前两轮,应该是anitector略强一点点。所以,以每轮的第一名为参照物,看其他会员按第一名的成绩完成的比例来评分。这样两轮比赛的评分就有可比性了。
但要注意的是,第二轮的分值是所得到的经验,当然可以这样去算:某一人得到的经验是第一名得到的经验的百分之多少。但第一轮的分值是按30回合的假想成绩倒扣的,合理的参考值应该是每个人所用的步数。但步数是倒序的,也就是步数少的成绩反而靠前;所以,更合理的参考值是(第一名步数*第一名步数)/该会员所用步数。
最后假设每轮的第一名换成标准分后是100分,其他的会员得分按比例递降。则前两轮比赛的标准分及分轮排名如下。
第一轮:
图片附件
: [01]
01.JPG
(2007-4-26 18:19, 36.57 K)
第二轮:
图片附件
: [02]
02.JPG
(2007-4-26 18:19, 33.71 K)
第三轮:
图片附件
: [3]
04.JPG
(2007-5-14 22:02, 15.83 K)
[
本帖最后由 林冲 于 2007-5-14 22:03 编辑
]
[广告]
真诚支持说岳,携手共创辉煌
林冲
(教头)
京兆郡公
谏议大夫
★★
★★
组别
翰林学士
级别
卫将军
好贴
5
功绩
872
帖子
6312
编号
56550
注册
2006-1-2
家族
轩辕狼党
#2
发表于 2007-4-26 18:21
资料
个人空间
短消息
只看该作者
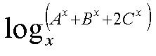
如何将两轮的得分相加呢?直接相加当然合理,但那是在所有会员都参加了每轮比赛的前提下。如果一个会员参加了一轮比赛并取得了好成绩,但因个人原因缺席了下一轮比赛(比如墨叶),直接相加会对他造成极大的损失。本届战棋联赛有两个宗旨:一是提高人气、让更多的人参与进来;二是出精品、提高战棋水平!直接相加是违背第二点精神的。
为了同时照顾这二点精神,本次比赛不能采用A+B+C方法,而采用
图片附件
: [03]
03.JPG
(2007-4-26 18:21, 3.73 K)
的相加方式。并规定标准分每比第一名少20%,取指数后为第一名的一半的原则,式中x=2^(1/20)=1.035264924。另外,未参加某轮比赛的,标准分按0分计算。未来的第三轮将采用同样的方法加入到总成绩中,不过第三轮为两关,所以上面公式中含有系数2。也就是说,第三轮取得好成绩的会员可以在总名次上发生飞跃!
下面就是战棋联赛的总排名:
图片附件
:
05.JPG
(2007-5-14 22:06, 69.39 K)
多谢各位的参与!
[
本帖最后由 林冲 于 2007-5-14 22:07 编辑
]
[广告]
《精忠报国岳飞传完整版》火热发布
冰祁步
长平郡主
鸿胪少卿
荆湖路经略使
★★
组别
佩剑公主
级别
卫将军
好贴
3
功绩
2717
帖子
6735
编号
121
注册
2004-9-25
家族
司徒实业
#3
发表于 2007-4-26 18:35
资料
文集
短消息
只看该作者
看得晕乎乎的
[广告]
安装Alexa工具条,提高轩辕排名,支持轩辕发展!
林冲
(教头)
京兆郡公
谏议大夫
★★
★★
组别
翰林学士
级别
卫将军
好贴
5
功绩
872
帖子
6312
编号
56550
注册
2006-1-2
家族
轩辕狼党
#4
发表于 2007-4-26 18:38
资料
个人空间
短消息
只看该作者
回复 #3 冰祁步 的帖子
总而言之,就是多参加一轮有多参加一轮的好处,有一轮取得特别好的成绩的话,好处更多!反正最后的冠亚军决赛是在你和anitector之间了。
[广告]
安装Alexa工具条,提高轩辕排名,支持轩辕发展!
tchfk
组别
士兵
级别
忠义校尉
功绩
3
帖子
293
编号
90147
注册
2006-11-5
家族
肉肉门
#5
发表于 2007-4-26 19:23
资料
短消息
只看该作者
惊喜中,我居然不是最后一名
[广告]
《精忠报国岳飞传完整版》火热发布
林冲
(教头)
京兆郡公
谏议大夫
★★
★★
组别
翰林学士
级别
卫将军
好贴
5
功绩
872
帖子
6312
编号
56550
注册
2006-1-2
家族
轩辕狼党
#6
发表于 2007-4-26 19:26
资料
个人空间
短消息
只看该作者
回复 #5 tchfk 的帖子
嗯。你现在的成绩可以坐十望八,最后的前八名都有功绩的奖励!
[广告]
《精忠报国岳飞传完整版》火热发布
炎帝瀑布碎
(月半月半)
余杭郡公
监管使
京东西路经略使
★★★★★★
组别
经略使
级别
征东将军
好贴
1
功绩
2358
帖子
5212
编号
85388
注册
2006-10-1
来自
轩辕学院
家族
肉肉门
#7
发表于 2007-4-26 19:28
资料
个人空间
短消息
只看该作者
MS参赛与否才是成绩的关键啊
[广告]
真诚支持说岳,携手共创辉煌
林冲
(教头)
京兆郡公
谏议大夫
★★
★★
组别
翰林学士
级别
卫将军
好贴
5
功绩
872
帖子
6312
编号
56550
注册
2006-1-2
家族
轩辕狼党
#8
发表于 2007-4-26 19:31
资料
个人空间
短消息
只看该作者
回复 #7 炎帝瀑布碎 的帖子
也不全是。像第一轮取得好成绩的墨叶就能凭单轮的成绩位居第二集团。
PS:胖胖,你现在和第5、6名相差无几。可以坐七望五了!
[广告]
安装Alexa工具条,提高轩辕排名,支持轩辕发展!
sharmarty
组别
百姓
级别
在野武将
功绩
1
帖子
24
编号
67904
注册
2006-5-5
#9
发表于 2007-4-27 08:50
资料
短消息
只看该作者
这样排也不错,就是完全取决于第一名的成绩,第一轮没拉开差距,第二轮差距就大了,第三轮有两关,我估计差距更大,所以主要看第三轮的了
[广告]
《精忠报国岳飞传完整版》火热发布
林冲
(教头)
京兆郡公
谏议大夫
★★
★★
组别
翰林学士
级别
卫将军
好贴
5
功绩
872
帖子
6312
编号
56550
注册
2006-1-2
家族
轩辕狼党
#10
发表于 2007-4-27 15:54
资料
个人空间
短消息
只看该作者
截止前两轮参赛选手所获功绩通宝一览:
anitector:功绩+1(未发放)、通宝+1600(已发放)
冰祁步:功绩+1(未发放)、通宝+1600(已发放)
墨叶:通宝+400(已发放)
sharmarty:通宝+400(已发放)
落叶:通宝+400(已发放)
炎帝瀑布碎:通宝+400(已发放)
tchfk:通宝+400(已发放)
brz168:通宝+200(已发放)
rjcccc:通宝+200(已发放)
行空天马:通宝+200(已发放)
biaika111:通宝+200(已发放)
vichow:通宝+200(已发放)
重申一下第三轮的奖励:
第一名:功绩+2、通宝+2000,
第二名:功绩+1、通宝+1200,
第三名:功绩+1、通宝+800,
其余成绩有效参加者:通宝+400。
算出总成绩后的附加奖励:
第一名:功绩+5,通宝+5000;授予“轩辕春秋战棋王”的流动封号,并在头像下加一颗红星。
第二名:功绩+3,通宝+3000,
第三名:功绩+2,通宝+2000,
第四名:功绩+1,通宝+1600,
第五名:功绩+1,通宝+1200,
第六名:功绩+1,通宝+1000,
第七名:功绩+1,通宝+800,
第八名:功绩+1,通宝+600,
其余成绩有效参加者:通宝+400。
[
本帖最后由 林冲 于 2007-5-4 18:41 编辑
]
[广告]
《精忠报国岳飞传完整版》火热发布
醉桥
组别
百姓
级别
奋威校尉
功绩
1
帖子
104
编号
3429
注册
2003-12-17
#11
发表于 2007-4-28 14:26
资料
短消息
只看该作者
教头是有心人
偶潜水 欣赏大家的作品。
偶觉得,这成绩统计算法够 牛了。也许统计学的东西接触的少,看得偶汗颜。
能够 找出这么一个“相对最公平”的规则来,不容易。
我个人的体会,大多数人解决这类问题时,简单平均或简单求和是最容易想到 和采用的。有时候能感觉到其中的问题,但想不出更好的解决方案。
每次公司搞绩效考核,直想骂娘。没有一次遇到 像教头这水平的人出的考核方案。
[广告]
安装Alexa工具条,提高轩辕排名,支持轩辕发展!
林冲
(教头)
京兆郡公
谏议大夫
★★
★★
组别
翰林学士
级别
卫将军
好贴
5
功绩
872
帖子
6312
编号
56550
注册
2006-1-2
家族
轩辕狼党
#12
发表于 2007-4-28 19:01
资料
个人空间
短消息
只看该作者
回复 #11 醉桥 的帖子
多谢!
其实所谓成绩统计,这个世界上不合理的算法太多。个人认为最臭名昭著的就是奥运会总排名的算法,毫无公平性而言。本来人类社会已经进入E时代,可好多成绩统计算法还停留在古代社会的水平。
[广告]
真诚支持说岳,携手共创辉煌
KYOKO
(★御姐控★)
唐国公
荆南节度使
★★
组别
节度使
级别
大将军
功绩
1457
帖子
65673
编号
32
注册
2003-8-19
来自
BWL
#13
发表于 2007-5-6 13:45
资料
个人空间
短消息
只看该作者
奥运会排名没什么吧
男子百米金牌同卡巴迪冠军都是一块金牌,职业是不分高低贵贱的.所以,中国没有田径,没有游泳,照样是老二
汗,也不知教头是不是这个意思
[广告]
安装Alexa工具条,提高轩辕排名,支持轩辕发展!
林冲
(教头)
京兆郡公
谏议大夫
★★
★★
组别
翰林学士
级别
卫将军
好贴
5
功绩
872
帖子
6312
编号
56550
注册
2006-1-2
家族
轩辕狼党
#14
发表于 2007-5-6 17:05
资料
个人空间
短消息
只看该作者
回复 #13 KYOKO 的帖子
1、田径和足球的金牌等价
2、1金的排名榜上高于20银
[广告]
《精忠报国岳飞传完整版》火热发布
墨叶
★★★★
节度留后虎豹骑
组别
虎豹骑
级别
大将军
功绩
359
帖子
23258
编号
97330
注册
2006-12-26
家族
轩辕少林寺
#15
发表于 2007-5-6 17:09
资料
个人空间
短消息
只看该作者
就是,一块金牌的作用超过无限块银牌.第4名就被完全无视.
支持林教头的算法.
[广告]
《精忠报国岳飞传完整版》火热发布
KYOKO
(★御姐控★)
唐国公
荆南节度使
★★
组别
节度使
级别
大将军
功绩
1457
帖子
65673
编号
32
注册
2003-8-19
来自
BWL
#16
发表于 2007-5-9 13:21
资料
个人空间
短消息
只看该作者
教头算分还是比较合理的
不过有个问题.比如第一轮,假设第1名8轮14人,第二名8轮15人,第三名9轮1人.虽然两名之间都只差1个行动,但却是整整1轮的差距.因此第一名同第二名的差距比第二名同第三名的差距要小得多吧.这又是怎么算的呢?
[广告]
《精忠报国岳飞传完整版》火热发布
林冲
(教头)
京兆郡公
谏议大夫
★★
★★
组别
翰林学士
级别
卫将军
好贴
5
功绩
872
帖子
6312
编号
56550
注册
2006-1-2
家族
轩辕狼党
#17
发表于 2007-5-9 16:19
资料
个人空间
短消息
只看该作者
回复 #16 KYOKO 的帖子
虽然8轮15人和9轮1人差了整整1轮,但从本质上讲并没有差多少。9轮的那一个人也消灭不了多少敌军。
[广告]
真诚支持说岳,携手共创辉煌
林冲
(教头)
京兆郡公
谏议大夫
★★
★★
组别
翰林学士
级别
卫将军
好贴
5
功绩
872
帖子
6312
编号
56550
注册
2006-1-2
家族
轩辕狼党
#18
发表于 2007-5-11 14:48
资料
个人空间
短消息
只看该作者
第三轮比赛只有前两轮结束后的总排名列前三名的anitector、冰祁步、落叶交了稿。到显得第三轮真的是决赛似的。
[广告]
安装Alexa工具条,提高轩辕排名,支持轩辕发展!
落叶
组别
校尉
级别
平东将军
功绩
29
帖子
2584
编号
89033
注册
2006-10-28
#19
发表于 2007-5-11 14:53
资料
文集
短消息
只看该作者
晕......只有三个人,结果偶成了最大~受害者~......原来好歹还是中等靠上,现在变成了最后一名.....
[广告]
安装Alexa工具条,提高轩辕排名,支持轩辕发展!
林冲
(教头)
京兆郡公
谏议大夫
★★
★★
组别
翰林学士
级别
卫将军
好贴
5
功绩
872
帖子
6312
编号
56550
注册
2006-1-2
家族
轩辕狼党
#20
发表于 2007-5-11 14:55
资料
个人空间
短消息
只看该作者
回复 #19 落叶 的帖子
不过至少保证了一点功绩!加上总名次也名列前三,又可以得两点功绩。也就是说,落叶你参加这次比赛一共得到了三点功绩!
[广告]
真诚支持说岳,携手共创辉煌
落叶
组别
校尉
级别
平东将军
功绩
29
帖子
2584
编号
89033
注册
2006-10-28
#21
发表于 2007-5-11 15:27
资料
文集
短消息
只看该作者
QUOTE:
原帖由
林冲
于 2007-5-11 14:55 发表
不过至少保证了一点功绩!加上总名次也名列前三,又可以得两点功绩。也就是说,落叶你参加这次比赛一共得到了三点功绩!
呵,开玩笑的,其实偶是其他人没参赛的最大收益者,自己知道偶的水平绝对进不了前三,不过也算是对俺坚持打完了三轮比赛的一个奖励吧.
现在最关注的就是俺前面那二个~牛人~的第一之争.
[广告]
安装Alexa工具条,提高轩辕排名,支持轩辕发展!
sharmarty
组别
百姓
级别
在野武将
功绩
1
帖子
24
编号
67904
注册
2006-5-5
#22
发表于 2007-5-11 16:44
资料
短消息
只看该作者
已经截至了吗,我还以为今天还可以打一关
前一段没时间,昨天刚打完一关
不过我还是会打完的,想看看和前两名高手差多少,我压级练果还是不错的(自认为)
[广告]
《精忠报国岳飞传完整版》火热发布
落叶
组别
校尉
级别
平东将军
功绩
29
帖子
2584
编号
89033
注册
2006-10-28
#23
发表于 2007-5-11 18:56
资料
文集
短消息
只看该作者
如果楼上这二天能打完.建议可以~法外施恩~
多个人更有意思.
[广告]
《精忠报国岳飞传完整版》火热发布
林冲
(教头)
京兆郡公
谏议大夫
★★
★★
组别
翰林学士
级别
卫将军
好贴
5
功绩
872
帖子
6312
编号
56550
注册
2006-1-2
家族
轩辕狼党
#24
发表于 2007-5-11 19:08
资料
个人空间
短消息
只看该作者
回复 #22 sharmarty 的帖子
其实就是落叶一个人的问题,只要落叶不反对,我就允许你推迟交稿。
[广告]
安装Alexa工具条,提高轩辕排名,支持轩辕发展!
墨叶
★★★★
节度留后虎豹骑
组别
虎豹骑
级别
大将军
功绩
359
帖子
23258
编号
97330
注册
2006-12-26
家族
轩辕少林寺
#25
发表于 2007-5-11 23:05
资料
个人空间
短消息
只看该作者
没完成任务的人来道歉了.
实在太费时间了.以前就没怎么压级练果.林教头费心了.
参加的人这么少,可见组织者是多么难当啊.
[广告]
真诚支持说岳,携手共创辉煌
落叶
组别
校尉
级别
平东将军
功绩
29
帖子
2584
编号
89033
注册
2006-10-28
#26
发表于 2007-5-12 11:56
资料
文集
短消息
只看该作者
QUOTE:
原帖由
林冲
于 2007-5-11 19:08 发表
其实就是落叶一个人的问题,只要落叶不反对,我就允许你推迟交稿。
完全不反对,事实上人越多越好,要不咱们步步举办的比赛居然就三个人完成也太逊了.
[广告]
安装Alexa工具条,提高轩辕排名,支持轩辕发展!
sharmarty
组别
百姓
级别
在野武将
功绩
1
帖子
24
编号
67904
注册
2006-5-5
#27
发表于 2007-5-14 08:45
资料
短消息
只看该作者
正式退出第三轮比赛,抱歉,最近实在没空,家里在装修,而且公司里的事也很多
[广告]
安装Alexa工具条,提高轩辕排名,支持轩辕发展!
墨叶
★★★★
节度留后虎豹骑
组别
虎豹骑
级别
大将军
功绩
359
帖子
23258
编号
97330
注册
2006-12-26
家族
轩辕少林寺
#28
发表于 2007-5-14 08:50
资料
个人空间
短消息
只看该作者
落叶最后轮倒数第一了.
请客啊.
[广告]
真诚支持说岳,携手共创辉煌
落叶
组别
校尉
级别
平东将军
功绩
29
帖子
2584
编号
89033
注册
2006-10-28
#29
发表于 2007-5-14 18:34
资料
文集
短消息
只看该作者
QUOTE:
原帖由
墨叶
于 2007-5-14 08:50 发表
落叶最后轮倒数第一了.
请客啊.
哭,你不去打土豪,却来敲俺这无产阶级的竹杠.
实际情况是,俺不会发红包......
[广告]
真诚支持说岳,携手共创辉煌
林冲
(教头)
京兆郡公
谏议大夫
★★
★★
组别
翰林学士
级别
卫将军
好贴
5
功绩
872
帖子
6312
编号
56550
注册
2006-1-2
家族
轩辕狼党
#30
发表于 2007-5-14 22:08
资料
个人空间
短消息
只看该作者
更新1楼和2楼的内容。总排名出炉!
[广告]
安装Alexa工具条,提高轩辕排名,支持轩辕发展!
35
1/2
1
2
››
投票
交易
悬赏
活动
正在浏览此帖的会员 -
1
人在线 -
0
位会员(
0
隐身),
1
位游客
轩辕春秋文化论坛
轩辕史话
> 炎黄春秋
> 我思我在
> 法律探讨
> 三国史话
春秋文艺
> 古典小说
> 诗词歌赋
> 现代文艺
> 韦编三绝
> 对联雅座
> 滴翠亭
> 藏经阁
> 双七钟社
> 笑书神侠
> 辕门射虎
> 虎帐点兵
游戏人生
> 三国戏英杰传
> 同人战棋手游
> 三国鼎立
> 轩辕公会
> 三国志12
> 英雄史诗
> 运筹帷幄
> 人间五十年
> 步步为营
> 游行天下
> 游戏贴图
轩辕工作室
> 兴唐传·瓦岗山异闻录
> 豪华曹操传
> 精忠报国岳飞传
> 《精忠报国岳飞传》制作组
> 大一统演义
> 曹操传MOD作品交流
> 东吴霸王传
> 封神英杰传
> 杨家将
> 吕布传
> 三国无双战略版
> 北宋志·赵匡胤传
> 战旗春秋
> 曹操传MOD制作交流
> 金庸群侠传MOD交流
> 风华录
> 设计与修改
柔居
> 岳飞全传
> 杨门忠烈传
> 梁山好汉宋江传
怡情岁月
> 影音经典
> 动漫先锋
> 绘画摄影
> 情感轩辕
> 衣食住行
> 体坛动力
> 谈股论金
参政议政
> 迎宾阁
> 鸿胪寺
> 登闻鼓
> 监造府
当前时区 GMT+8, 现在时间是 2026-5-16 04:41
京ICP备2023018092号
轩辕春秋
2003-2023 www.xycq.org.cn
Powered by
Discuz!
5.0.0
2001-2006
Comsenz Inc.
Processed in 0.015601 second(s), 9 queries , Gzip enabled
TOP
清除 Cookies
-
联系我们
-
轩辕春秋
-
Archiver
-
WAP
控制面板首页
编辑个人资料
积分交易
公众用户组
好友列表
基本概况
论坛排行
主题排行
发帖排行
积分排行
管理团队
管理统计