游客:
注册
|
登录
会员
|
搜索
|
统计
|
帮助
轩辕春秋文化论坛
»
辕门射虎
» 极限问题
兴唐传·瓦岗山异闻录(20150519版)发布
(2015-5-19)
论坛营运现状公告
(2014-8-10)
三国志12pk版下载
(2013-4-20)
《精忠报国岳飞传》制作组对外开放
(2013-1-16)
岳飞传解密剧本发布
(2011-4-12)
招募各版斑竹和网站管理技术人员
(2006-4-19)
<< 上一主题
|
下一主题 >>
投票
交易
悬赏
活动
打印
|
推荐
|
订阅
|
收藏
|
开通个人空间
|
加入资讯
标题: 极限问题, 有点难度,高手们请进
天宫公主
(司徒家的颖颖)
虞国公主
★
组别
限制发言用户
级别
大将军
好贴
6
功绩
517
帖子
11552
编号
1037
注册
2004-10-25
来自
天津
家族
司徒实业
#1
发表于 2005-10-22 23:14
资料
主页
短消息
只看该作者
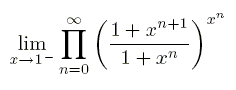
来个相对难一些的。求以下极限,并证明所有收敛性。
图片附件
:
limit.gif
(2005-10-22 23:14, 2.21 K)
[广告]
《精忠报国岳飞传完整版》火热发布
俺是马甲
组别
士兵
级别
偏将军
好贴
1
功绩
9
帖子
368
编号
28860
注册
2004-12-26
#2
发表于 2005-10-22 23:33
资料
短消息
只看该作者
偶不是说你出题水平低呀
出成这样子,固然够狠,不过趣味性何在,呵呵
我的意思是我们这些人还是没有塌兄出这类题专业
但我们有我们自己的风格,不见得就是水平低吧
切莫妄自菲薄
[广告]
真诚支持说岳,携手共创辉煌
凤凰涅槃
组别
士兵
级别
忠义校尉
功绩
3
帖子
279
编号
51517
注册
2005-10-21
#3
发表于 2005-10-23 02:10
资料
主页
短消息
只看该作者
我想应该等于0吧?
[广告]
安装Alexa工具条,提高轩辕排名,支持轩辕发展!
天宫公主
(司徒家的颖颖)
虞国公主
★
组别
限制发言用户
级别
大将军
好贴
6
功绩
517
帖子
11552
编号
1037
注册
2004-10-25
来自
天津
家族
司徒实业
#4
发表于 2005-10-23 14:45
资料
主页
短消息
只看该作者
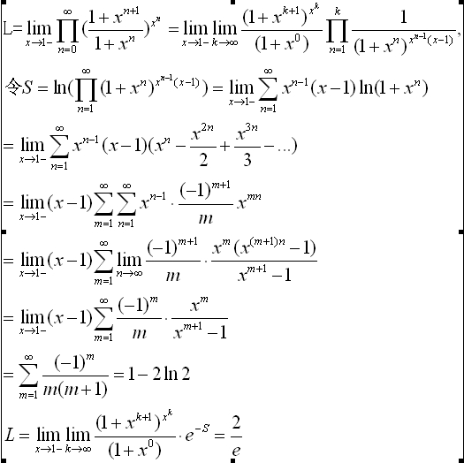
提示: 命题难点在于是双重极限, 所以关键是要证明一致收敛性.
[广告]
真诚支持说岳,携手共创辉煌
凤凰涅槃
组别
士兵
级别
忠义校尉
功绩
3
帖子
279
编号
51517
注册
2005-10-21
#5
发表于 2005-10-23 17:51
资料
主页
短消息
只看该作者
昨天头算晕了,犯了个基本错误,晕倒。。。。
今天又算了一遍,得2/e,不知道对不对?
[广告]
安装Alexa工具条,提高轩辕排名,支持轩辕发展!
天宫公主
(司徒家的颖颖)
虞国公主
★
组别
限制发言用户
级别
大将军
好贴
6
功绩
517
帖子
11552
编号
1037
注册
2004-10-25
来自
天津
家族
司徒实业
#6
发表于 2005-10-23 18:02
资料
主页
短消息
只看该作者
嗯... 答案正确. 有步骤么?
[广告]
安装Alexa工具条,提高轩辕排名,支持轩辕发展!
凤凰涅槃
组别
士兵
级别
忠义校尉
功绩
3
帖子
279
编号
51517
注册
2005-10-21
#7
发表于 2005-10-23 18:42
资料
主页
短消息
只看该作者
没有公式编辑器,很难说清,先简单说说:
关键是先取n的极限再取x->0,考虑区间(0,1)
把分子分母相除,取自然对数;把ln(1+x)=x-x^2/2+x^3/3+...
带入,然后取极限,就可得到结果了
等我用公式编辑器编辑出来再贴出来,不知楼主有什么好方法?
[广告]
安装Alexa工具条,提高轩辕排名,支持轩辕发展!
天宫公主
(司徒家的颖颖)
虞国公主
★
组别
限制发言用户
级别
大将军
好贴
6
功绩
517
帖子
11552
编号
1037
注册
2004-10-25
来自
天津
家族
司徒实业
#8
发表于 2005-10-23 18:58
资料
主页
短消息
只看该作者
令: L = lim_{x -> 1-} sum_{n=0}^\inf x^n (log(1+x^(n+1)) - log(1+x^n)). (对原命题取对数, 其中\inf = 无穷大)
t_n(x) = log(1+x^n), so x^n = exp(t_n (x)) - 1.
L = lim_{x -> 1-} sum_{n=0}^\inf x^n (t_{n} (x) - t_{n+1}(x)) (1 - exp(t_n(x))
= int_0^log2 (1 - e^t ) dt (注意: 黎曼积分!)
= log 2 - 1
[广告]
《精忠报国岳飞传完整版》火热发布
凤凰涅槃
组别
士兵
级别
忠义校尉
功绩
3
帖子
279
编号
51517
注册
2005-10-21
#9
发表于 2005-10-23 23:45
资料
主页
短消息
只看该作者
怎么贴图啊?怎么上传图片
楼主的方法比我的简单多了,主要在ln(1+x^k)的处理上不同,这样的方法感觉似曾相识,可以没想到
[广告]
安装Alexa工具条,提高轩辕排名,支持轩辕发展!
重阳
高阳侯光禄大夫
组别
翰林学士
级别
前将军
好贴
2
功绩
585
帖子
1775
编号
50
注册
2003-8-21
#10
发表于 2005-10-24 00:09
资料
主页
文集
短消息
只看该作者
现在普通会员没有上传图片权限,有需要的话可以发找版主代发。
[广告]
《精忠报国岳飞传完整版》火热发布
天宫公主
(司徒家的颖颖)
虞国公主
★
组别
限制发言用户
级别
大将军
好贴
6
功绩
517
帖子
11552
编号
1037
注册
2004-10-25
来自
天津
家族
司徒实业
#11
发表于 2005-10-24 00:21
资料
主页
短消息
只看该作者
帮凤凰涅槃贴一下他的答案
图片附件
:
resolution.gif
(2005-10-24 00:21, 104.96 K)
[广告]
安装Alexa工具条,提高轩辕排名,支持轩辕发展!
天宫公主
(司徒家的颖颖)
虞国公主
★
组别
限制发言用户
级别
大将军
好贴
6
功绩
517
帖子
11552
编号
1037
注册
2004-10-25
来自
天津
家族
司徒实业
#12
发表于 2005-10-24 01:01
资料
主页
短消息
只看该作者
答案正确, 步骤也不错. 如果非要100%严格的话, 第三行 -> 第四行 还有 第六行-> 第七行 两次交换极限运算中, 应该考虑一致收敛问题.
如果没有一致收敛性(只是说如果), 则交换极限有可能出问题. 例如:
lim_{n-> inf} lim_{x -> 1-} x^n = 1
lim_{x-> 1-} lim_{n -> inf} x^n = 0
显然, lim_x lim_n != lim_n lim_x.
[广告]
安装Alexa工具条,提高轩辕排名,支持轩辕发展!
凤凰涅槃
组别
士兵
级别
忠义校尉
功绩
3
帖子
279
编号
51517
注册
2005-10-21
#13
发表于 2005-10-26 00:32
资料
主页
短消息
只看该作者
费了老大的劲,终于证明一致收敛了
[广告]
安装Alexa工具条,提高轩辕排名,支持轩辕发展!
投票
交易
悬赏
活动
正在浏览此帖的会员 - 共
1
人在线
轩辕春秋文化论坛
轩辕史话
> 炎黄春秋
> 我思我在
> 法律探讨
> 三国史话
春秋文艺
> 古典小说
> 诗词歌赋
> 现代文艺
> 韦编三绝
> 对联雅座
> 滴翠亭
> 藏经阁
> 双七钟社
> 笑书神侠
> 辕门射虎
> 虎帐点兵
游戏人生
> 三国戏英杰传
> 同人战棋手游
> 三国鼎立
> 轩辕公会
> 三国志12
> 英雄史诗
> 运筹帷幄
> 人间五十年
> 步步为营
> 游行天下
> 游戏贴图
轩辕工作室
> 兴唐传·瓦岗山异闻录
> 豪华曹操传
> 精忠报国岳飞传
> 《精忠报国岳飞传》制作组
> 大一统演义
> 曹操传MOD作品交流
> 东吴霸王传
> 封神英杰传
> 杨家将
> 吕布传
> 三国无双战略版
> 北宋志·赵匡胤传
> 战旗春秋
> 曹操传MOD制作交流
> 金庸群侠传MOD交流
> 风华录
> 设计与修改
柔居
> 岳飞全传
> 杨门忠烈传
> 梁山好汉宋江传
怡情岁月
> 影音经典
> 动漫先锋
> 绘画摄影
> 情感轩辕
> 衣食住行
> 体坛动力
> 谈股论金
参政议政
> 迎宾阁
> 鸿胪寺
> 登闻鼓
> 监造府
当前时区 GMT+8, 现在时间是 2026-5-28 10:21
京ICP备2023018092号
轩辕春秋
2003-2023 www.xycq.org.cn
Powered by
Discuz!
5.0.0
2001-2006
Comsenz Inc.
Processed in 0.014977 second(s), 9 queries , Gzip enabled
TOP
清除 Cookies
-
联系我们
-
轩辕春秋
-
Archiver
-
WAP
控制面板首页
编辑个人资料
积分交易
公众用户组
好友列表
基本概况
论坛排行
主题排行
发帖排行
积分排行
管理团队
管理统计